Word Count
Writers Talk About Writing
Apple Patents Page-Turning. What's Next, the Letter "i"?
Apple has just patented page turning. On Nov. 13, 2012, the U. S. Patent and Trademark Office granted Apple patent no. D670,713s for a "display screen or portion thereof with animated graphical user interface." In plain English, that's a page turner®.
The simple act of using one's finger to turn the page has been around ever since books began replacing scrolls 1,900 years ago, give or take. Although Apple calls the reading surface a "user interface," we call it a page. We turn the pages of a book with a finger, not an "animated graphic," but it's essentially the same thing. However, in the age of scrolls, we didn't scroll to get from one part of a text to another. The verb to scroll originally meant ‘to write in a scroll,' not to roll or unroll the pages while reading a scroll like the Torah. Scrolling in the sense of ‘moving through the pages of a document by rolling or unrolling it' goes back not to the ancient world, where scrolls abounded, but only to the 1970s, when books, not scrolls, held most of our words. According to the Oxford English Dictionary, the first use of scroll as a verb refers to moving the data on a computer screen up and down

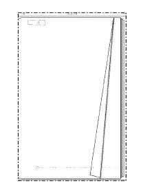
Fig. 1. from Apple's page-turner patent shows the page of a digital device beginning the turn.
Or as Apple puts it, "FIG. 1 is a front view of a display screen or portion thereof with
animated graphical user interface showing a first image in the sequence showing our
new design." Figs. 2 and 3 show the page at more advanced stages of being turned.
But just as books replaced scrolls long ago, today, in the newest stage of the computer revolution, ebooks are replacing books. So once again scrolling is out, and page turning, on Kindles and iPads, is back. Apple decided to seize this moment and take out a patent on page turning.
Critics say that by patenting pageturning, Apple privatized an activity that once was in the public domain. "It's just one more way of fencing in the internet," complained a spokesperson for the Electronic Frontier Foundation, speaking anonymously to avoid drawing the attention of Apple's legal department. "The company found a way to charge us for something that we do every day," she added. But to Apple, the animated graphical user interface is simply a way to improve the ebook user experience. "You can't just let people turn a page any old way," the late Steve Jobs told the audience when he introduced the new iPad back in 2010. "Don't you hate it when the page gets crumpled, or worse yet, torn? With pageturner™, that won't happen any more."
Apple is not the only company to assert ownership of a common word or activity. Facebook tried to trademark not just its name, Facebook, but the two words that make up its name, face and book. They weren't the first company to fence in the English language: CompuServe once attempted to trademark email, and Apple tried to trademark pod. The company already owns the i in iBook, iMac, and iTunes, and a source at Apple, who wishes to remain anonymous because he is not a liberty to discuss the situation, says it won't be long before Apple files a trademark application for the first person pronoun, or as Apple calls it, "A personal pronominal inanimate graphical mark or figure of the first person singular nominative, roman minuscule." The goal in doing so? To improve our experience as users of ourselves. And of course to collect a fee each time people refer to themselves. It's likely, however, that Microsoft, with a long track record of capitalizing all stand-alone lower-case uses of i, will challenge Apple's right to the mark.
Asked whether they intend to patent other common hand gestures, Apple executives declined to comment. But now that Apple owns turning the page, the next time you read a book, and you're tempted to go on to the next page, remember that even before you lick your fingertip, you'd better get permission from Apple. You may even have to pay Apple a user's fee for improving your e-reading experience.™
You might have discerned a note of Swiftian satire in Prof. Baron's last few paragraphs. In the same tongue-in-cheek vein, here is a video about Apple's page-turning patent from Washington Post book critic Ron Charles.

